
矿热炉变压器
产品详情
1、矿热炉变压器的概述
聚彩网 矿热炉是一种耗电量巨大的工业电炉。主要由炉壳,炉盖、炉衬、短网,水冷系统,排烟系统,除尘系统,电极壳,电极压放及升降系统,上下料系统,操纵器,烧穿器,液压系统,矿热炉变压器及各种电器设备等组成。矿热炉是铁合金炉、电石炉、黄磷炉、电熔刚玉炉、碳化硼炉、氰盐炉等各种埋弧炉的总称。
2、矿热炉变压器的用途
主要用于复原锻炼矿石,碳质复原剂等原料。矿热炉变压器是用处十分广泛的埋弧炉用变压器,跟着锻炼工艺的不同要求,产品首要适用于电石炉(HC)、铁合金(HT)和黄磷、刚玉、农药等各类矿热变压器。
3、矿热炉变压器的结构特征
矿热炉变压器/锻炼变压器的负载接连、平稳,阻抗电压低,调压级数较多,级差较小过载能力强。可分为有载、无励磁调压两种。一般前几级恒容量愉出,后几级恒电流输出。
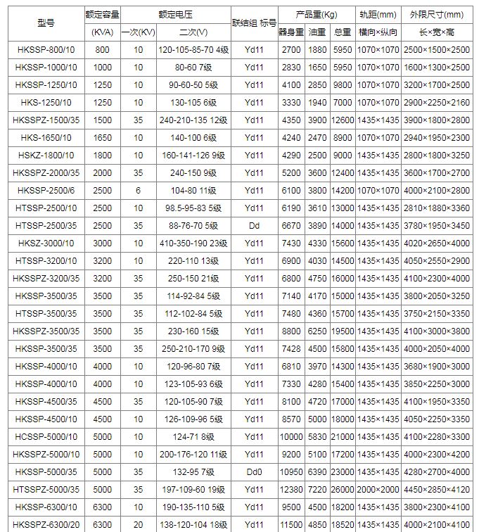
聚彩网 矿热炉变压器的技术数据




询盘








